Di bidang pengujian kinerja mesin traksi, metode konvensional terutama mencakup pengujian getaran, pengujian kebisingan, dll. Namun, menangkap bentuk gelombang tegangan secara akurat dan menganalisis data operasional adalah inti dari penilaian status motor. Setelah penyempurnaan ekstensif, Tim Motor Elevator NIDEC telah secara mandiri mengembangkan sistem analisis bentuk gelombang FFT berdasarkan prinsip gaya gerak listrik belakang mesin traksi — tanpa memerlukan sensor eksternal yang rumit, sistem ini dapat menghasilkan gelombang sinus hanya melalui konversi sinyal, memberikan solusi yang lebih efisien dan akurat untuk pengujian mesin traksi.
Berbagai Algoritma untuk Memperkuat Garis Pertahanan Deteksi Kesalahan
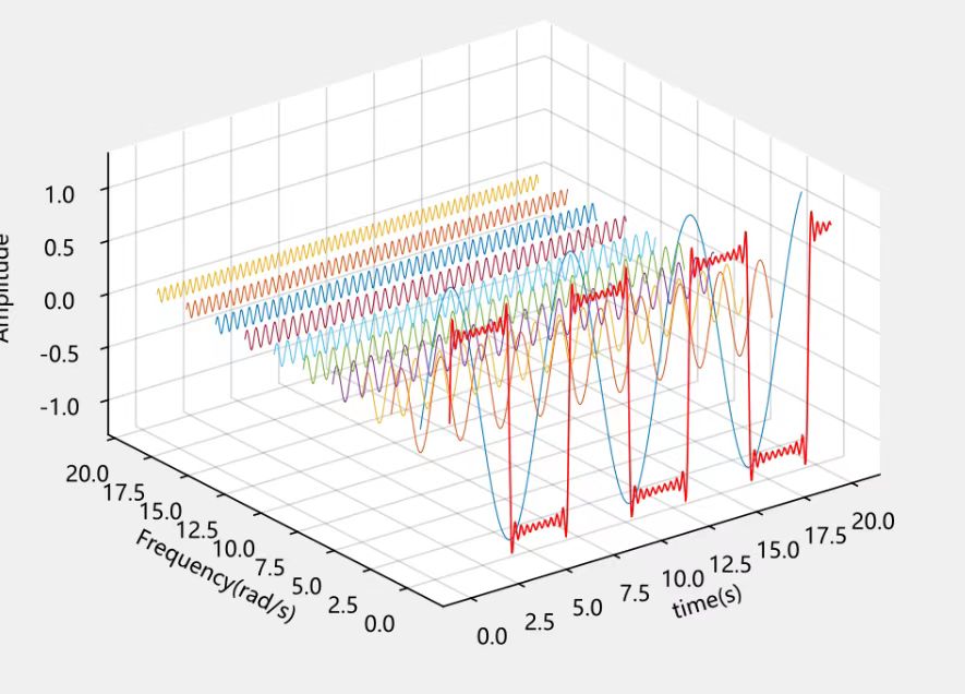
Algoritme Fast Fourier Transform (FFT), inti dari alat analisis NVH, adalah alat klasik untuk mendeteksi kesalahan. Ini dapat secara akurat mengubah sinyal domain waktu dari gaya gerak listrik terinduksi yang dikumpulkan selama pengoperasian motor menjadi sinyal domain frekuensi. Dalam pengoperasian sebenarnya motor sinkron magnet permanen, kesalahan seperti ketidaksejajaran, penempelan terbalik, dan penempelan offset magnet permanen akan tercermin dalam perubahan halus gaya gerak listrik induksi, yang akan menghasilkan sinyal abnormal pada frekuensi tertentu. Dengan kemampuan analisis sinyal yang kuat, algoritma FFT dapat menangkap perubahan halus ini dengan tajam dan memberikan petunjuk penting untuk diagnosis kesalahan.
Solusi Pengujian Motor Lift NIDEC Inti Ganda
Inti Perangkat Keras: Kartu Akuisisi Data Tingkat Pengambilan Sampel Tinggi
Untuk menghindari "distorsi" sinyal, kami memilih kartu akuisisi data dengan kecepatan pengambilan sampel tinggi dan resolusi tinggi sebagai fondasi perangkat keras. Teknologi ini dapat secara real-time menangkap perubahan tegangan kecil dari gaya gerak listrik balik selama pengoperasian motor, mengubah sinyal analog menjadi sinyal digital yang presisi, dan menyediakan "data mentah berkualitas tinggi" untuk analisis selanjutnya.
Untuk memastikan kartu akuisisi data yang dipilih memenuhi persyaratan, tim ME melakukan pengujian. Analisis menunjukkan bahwa kartu akuisisi data yang dipilih memiliki stabilitas yang sangat baik, dengan GRR sekitar 0,072% di antara tiga alat ukur A, B, dan C.
Inti Perangkat Lunak: Sistem Analisis Bentuk Gelombang FFT yang Dikembangkan Secara Independen
Keuntungan inti dari sistem ini terletak pada konversi "data profesional" menjadi hasil pengujian yang "terlihat, dapat dianalisis, dan digunakan". Tiga fungsi intinya mencakup analisis dimensi penuh dari domain waktu hingga domain frekuensi:
• Grafik Domain Waktu Tegangan Terinduksi: Secara real-time menampilkan kurva perubahan sinyal tegangan dari waktu ke waktu, secara intuitif menunjukkan fluktuasi tegangan dan simpul kejadian puncak, membuat perubahan sinyal seketika menjadi jelas dalam sekejap;
• Analisis Gambar Lissajous: Menghasilkan angka Lissajous melalui hubungan fase sinyal yang berbeda, dengan cepat menilai stabilitas operasional mesin traksi, dan mengidentifikasi penyimpangan fase abnormal secara sekilas;
• Analisis Spektrum Mendalam: Mengubah sinyal domain waktu menjadi data domain frekuensi, menunjukkan dengan jelas proporsi setiap komponen frekuensi, dan dengan mudah menemukan potensi masalah seperti interferensi harmonik.
Selain “melihat data”, sistem ini lebih fokus pada “memberikan hasil”. Tiga indikator pengujian utama menjaga kinerja alat berat traksi:
1. Laju Distribusi Puncak: Menghitung distribusi puncak tegangan, menilai apakah puncak berada dalam kisaran yang wajar, dan menghindari kehilangan motor yang disebabkan oleh puncak abnormal;
2. Derajat Non-Kebetulan Bentuk Gelombang: Membandingkan perbedaan antara bentuk gelombang aktual dan gelombang sinus standar, mengukur distorsi bentuk gelombang, dan memberikan dasar yang tepat untuk commissioning motor;
3. Analisis THD Bentuk Gelombang: Menghitung distorsi harmonik total, secara intuitif mencerminkan dampak harmonik pada bentuk gelombang tegangan, dan membantu mengoptimalkan kualitas produk mesin traksi.
Tampilan Prestasi
Melalui sistem analisis bentuk gelombang FFT yang dikembangkan secara independen, pengujian multi-dimensi kinerja motor NVH telah dilakukan, yang secara signifikan mengurangi masalah kualitas produk dan memastikan kualitas motor sebelum pengiriman. Sejak Desember 2024 hingga saat ini, sekitar puluhan ribu motor telah diuji, dengan hasil lintasan pertama motor yang diuji dipertahankan di atas 99,5%. Pengumpulan dan analisis data ini sepenuhnya menunjukkan keandalan kualitas motor elevator NIDEC dan pentingnya pengembangan perangkat lunak pengujian kinerja FFT motor ini.
Terakhir, mulai dari interpretasi prinsip NVH, pengenalan inovasi, akuisisi data berkecepatan tinggi, analisis parameter multidimensi hingga pengujian produk massal skala penuh, sistem analisis bentuk gelombang FFT ini mendobrak batasan pengujian tradisional. Baik untuk pemeriksaan kualitas pabrik motor, pemantauan pengoperasian dan pemeliharaan harian, atau diagnosis kesalahan, ini dapat memberikan dukungan pengujian yang terperinci dan komprehensif, memberikan momentum baru ke dalam pengujian kinerja motor yang efisien, aman, dan andal di industri mesin traksi elevator!




